Официальное опубликование правовых актов
ОФИЦИАЛЬНОЕ ОПУБЛИКОВАНИЕ
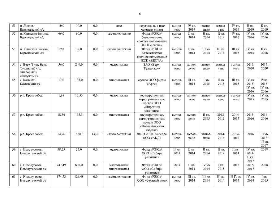
Постановление Правительства Новосибирской области от 20.02.2015 № 68-п
"Об утверждении государственной программы Новосибирской области "Стимулирование развития жилищного строительства в Новосибирской области на 2015-2020 годы"
Номер опубликования: 5400201502250001
Дата опубликования: 25.02.2015
Страница №91 из 109:
Увеличить