Официальное опубликование правовых актов
ОФИЦИАЛЬНОЕ ОПУБЛИКОВАНИЕ
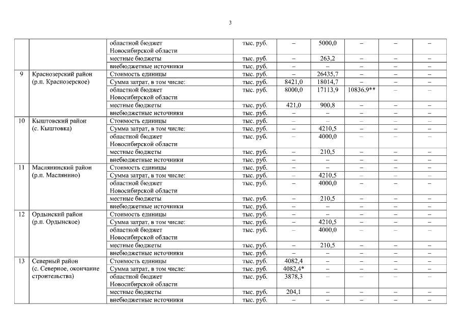
Постановление Правительства Новосибирской области от 20.01.2015 № 13-п
"О внесении изменений в постановление Правительства Новосибирской области от 28.09.2011 № 413-п"
Номер опубликования: 5400201501210006
Дата опубликования: 21.01.2015
Страница №24 из 36:
Увеличить