Официальное опубликование правовых актов
ОФИЦИАЛЬНОЕ ОПУБЛИКОВАНИЕ
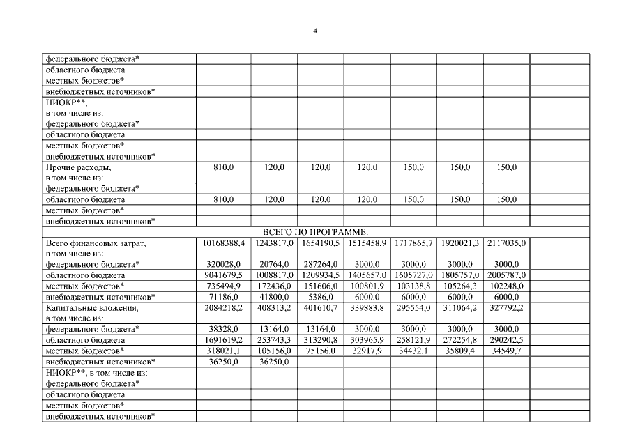
Постановление Правительства Новосибирской области от 03.12.2014 № 468-п
"Об утверждении государственной программы Новосибирской области "Повышение безопасности дорожного движения на автомобильных дорогах и обеспечение безопасности населения на транспорте в Новосибирской области в 2015-2020 годах"
Номер опубликования: 5400201412050005
Дата опубликования: 05.12.2014
Страница №49 из 58:
Увеличить