Официальное опубликование правовых актов
ОФИЦИАЛЬНОЕ ОПУБЛИКОВАНИЕ
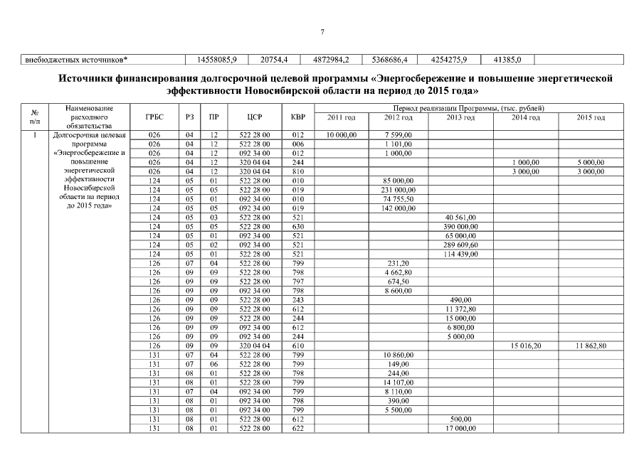
Постановление Правительства Новосибирской области от 31.10.2014 № 429-п
"О внесении изменений в постановление Правительства Новосибирской области от 30.09.2010 № 158-п"
Номер опубликования: 5400201411060006
Дата опубликования: 06.11.2014
Страница №19 из 20:
Увеличить