Официальное опубликование правовых актов
ОФИЦИАЛЬНОЕ ОПУБЛИКОВАНИЕ
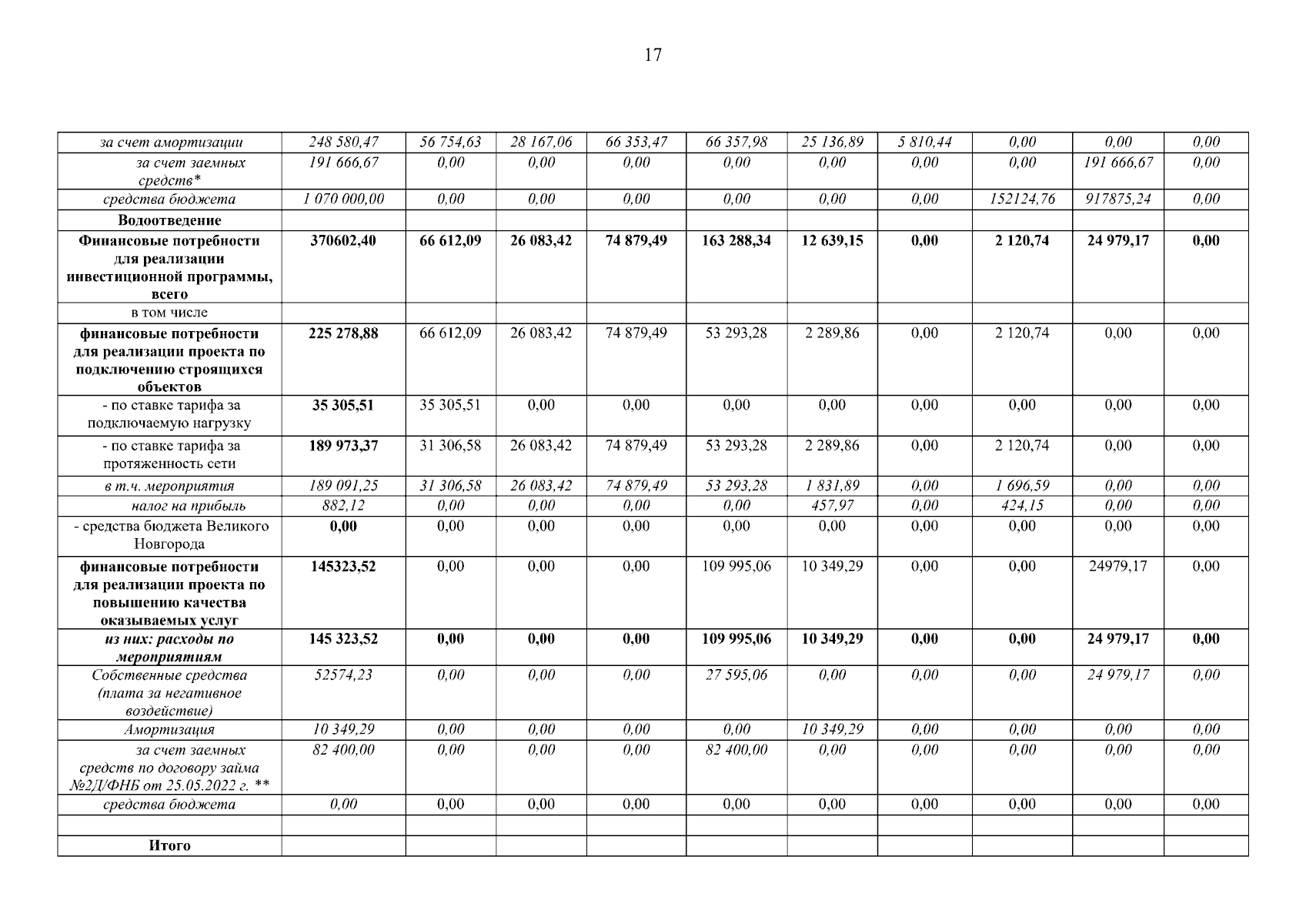
Постановление Комитета по тарифной политике Новгородской области от 18.11.2025 № 53
"О внесении изменений в постановление комитета по тарифной политике Новгородской области от 29.10.2018 № 37/2"
(Зарегистрирован 20.11.2025 № 1655)
Номер опубликования: 5301202511240001
Дата опубликования: 24.11.2025
Страница №17 из 96:
Увеличить