Официальное опубликование правовых актов
ОФИЦИАЛЬНОЕ ОПУБЛИКОВАНИЕ
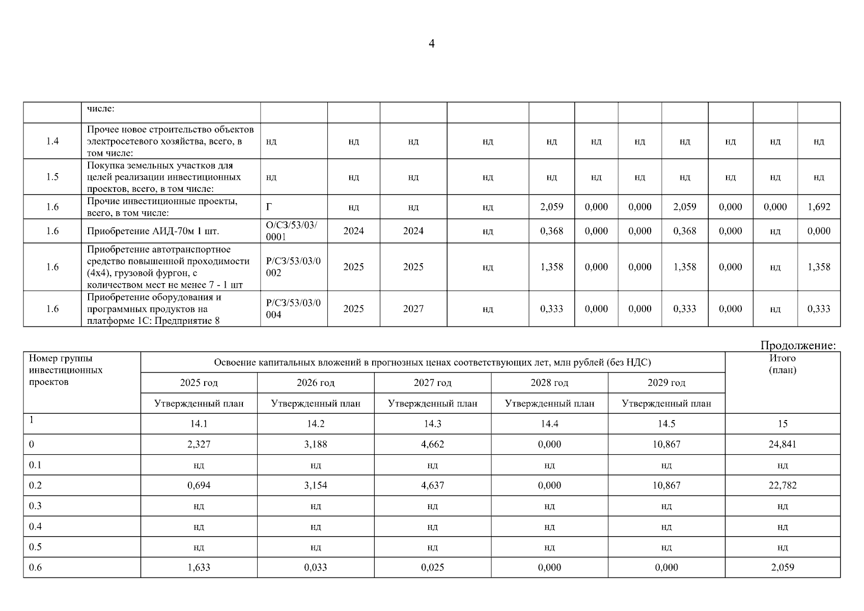
Постановление Комитета по тарифной политике Новгородской области от 30.10.2025 № 51/3
"Об утверждении инвестиционной программы акционерного общества "Оборонэнерго" на территории Новгородской области на 2025-2029 год"
(Зарегистрирован 01.11.2025 № 1644)
Номер опубликования: 5301202511050004
Дата опубликования: 05.11.2025
Страница №12 из 49:
Увеличить