Официальное опубликование правовых актов
ОФИЦИАЛЬНОЕ ОПУБЛИКОВАНИЕ
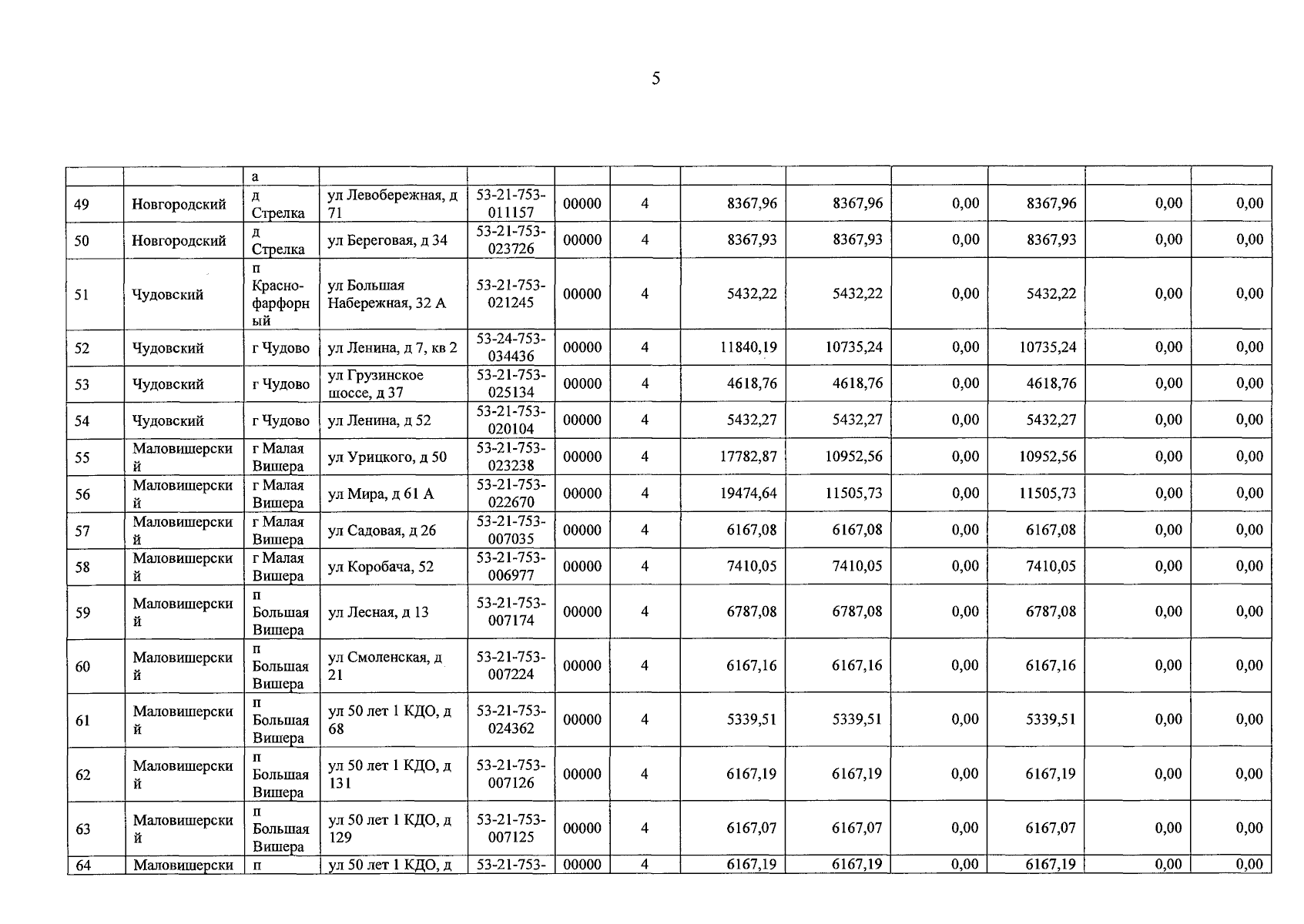
Постановление Комитета по тарифной политике Новгородской области от 15.05.2025 № 21
"Об утверждении размера экономически обоснованных расходов на выполнение мероприятий по подключению (технологическому присоединению) к газораспределительным сетям газоиспользующего оборудования в рамках догазификации за январь 2025 года"
(Зарегистрирован 19.05.2025 № 1481)
Номер опубликования: 5301202505200001
Дата опубликования: 20.05.2025
Страница №7 из 11:
Увеличить