Официальное опубликование правовых актов
ОФИЦИАЛЬНОЕ ОПУБЛИКОВАНИЕ
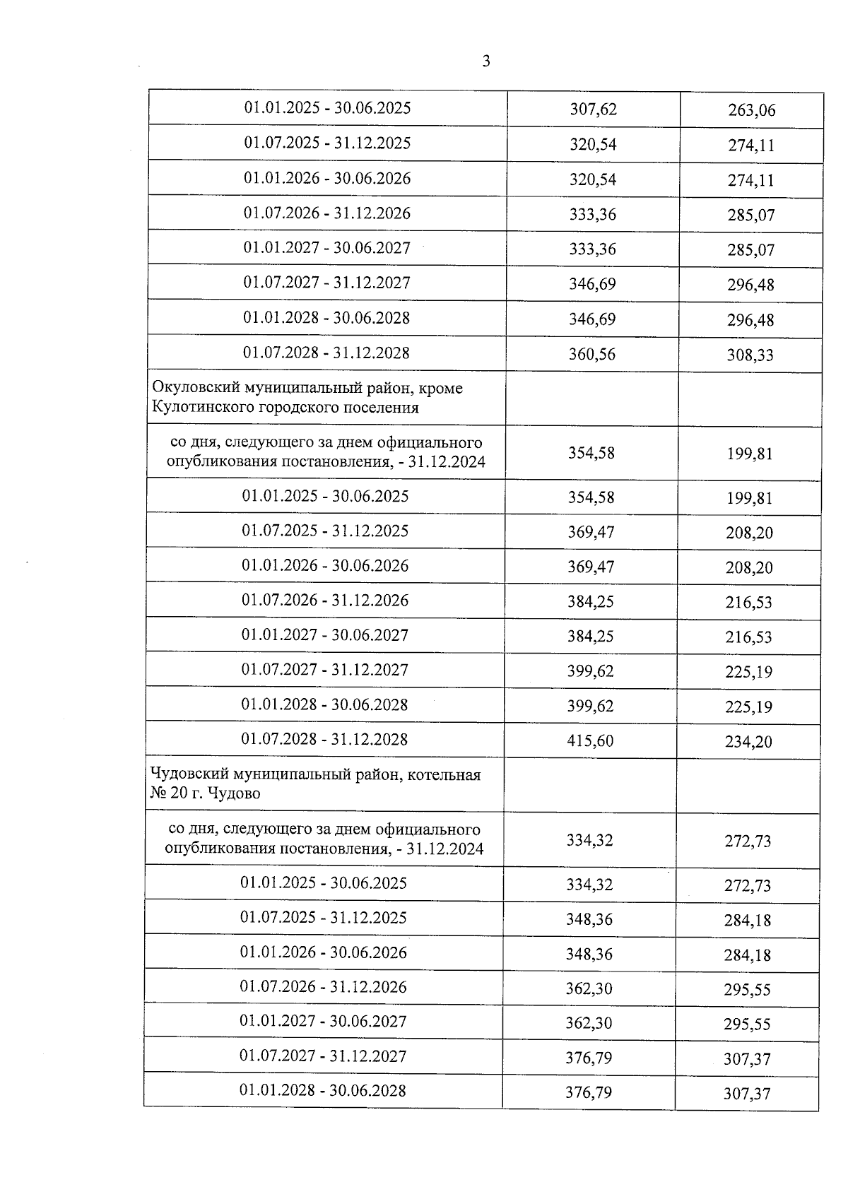
Постановление Комитета по тарифной политике Новгородской области от 15.08.2024 № 36/3
"О производственной программе, долгосрочных параметрах регулирования и тарифах в сфере горячего водоснабжения общества с ограниченной ответственностью "Тепловая Компания Новгородская" в отношении системы централизованного горячего водоснабжения, являющейся объектом концессионного соглашения от 03.07.2024, на 2024 - 2028 годы"
(Зарегистрирован 16.08.2024 № 972)
Номер опубликования: 5301202408200002
Дата опубликования: 20.08.2024
Страница №10 из 11:
Увеличить