Официальное опубликование правовых актов
ОФИЦИАЛЬНОЕ ОПУБЛИКОВАНИЕ
Постановление Комитета по тарифной политике Новгородской области от 20.12.2023 № 81/9
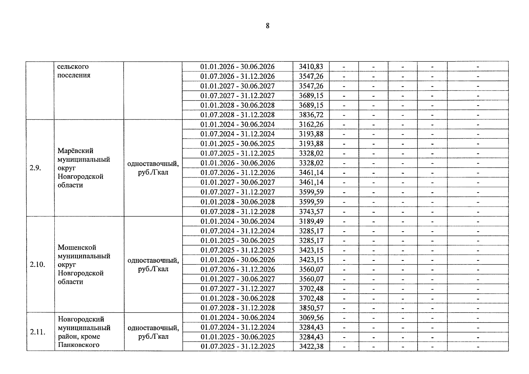
"О долгосрочных параметрах регулирования, тарифах на тепловую энергию (мощность) общества с ограниченной ответственностью "Тепловая Компания Новгородская" (кроме системы коммунальной инфраструктуры теплоснабжения, являющейся объектом концессионного соглашения от 29.04.2016, котельных: № 1 р.п. Неболчи, ул. Комсомольская, д. 2а, и № 2 р.п. Неболчи, ул. Школьная, д. 3, Любытинского муниципального района и объектов теплоснабжения, расположенных на территории Хвойнинского муниципального округа, являющихся объектом концессионного соглашения от 12.07.2021 № 519, и объектов теплоснабжения, являющихся объектом концессионного соглашения от 31.10.2022) на 2024 - 2028 годы"
(Зарегистрирован 22.12.2023 № 607)
Номер опубликования: 5301202312260013
Дата опубликования: 26.12.2023
Страница №10 из 15:
Увеличить