Официальное опубликование правовых актов
ОФИЦИАЛЬНОЕ ОПУБЛИКОВАНИЕ
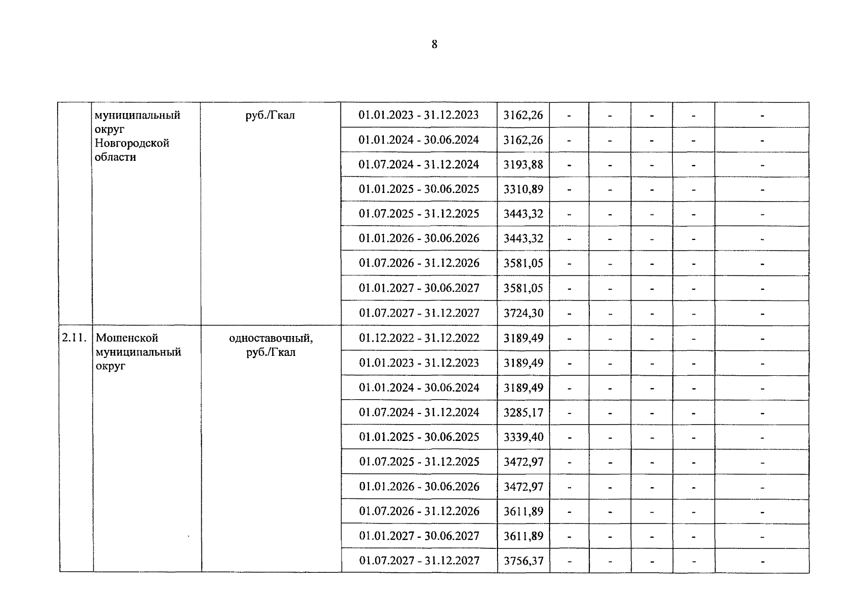
Постановление Комитета по тарифной политике Новгородской области от 15.12.2023 № 78/1
"О внесении изменений в постановление комитета по тарифной политике Новгородской области от 17.11.2022 № 62/39"
(Зарегистрирован 19.12.2023 № 569)
Номер опубликования: 5301202312200013
Дата опубликования: 20.12.2023
Страница №8 из 17:
Увеличить