Официальное опубликование правовых актов
ОФИЦИАЛЬНОЕ ОПУБЛИКОВАНИЕ
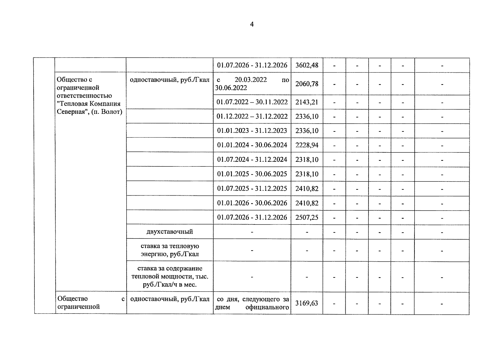
Постановление Комитета по тарифной политике Новгородской области от 30.11.2023 № 72/2
"О внесении изменений в постановление комитета по тарифной политике Новгородской области от 20.12.2021 № 96/8"
(Зарегистрирован 05.12.2023 № 522)
Номер опубликования: 5301202312050006
Дата опубликования: 05.12.2023
Страница №4 из 10:
Увеличить