Официальное опубликование правовых актов
ОФИЦИАЛЬНОЕ ОПУБЛИКОВАНИЕ
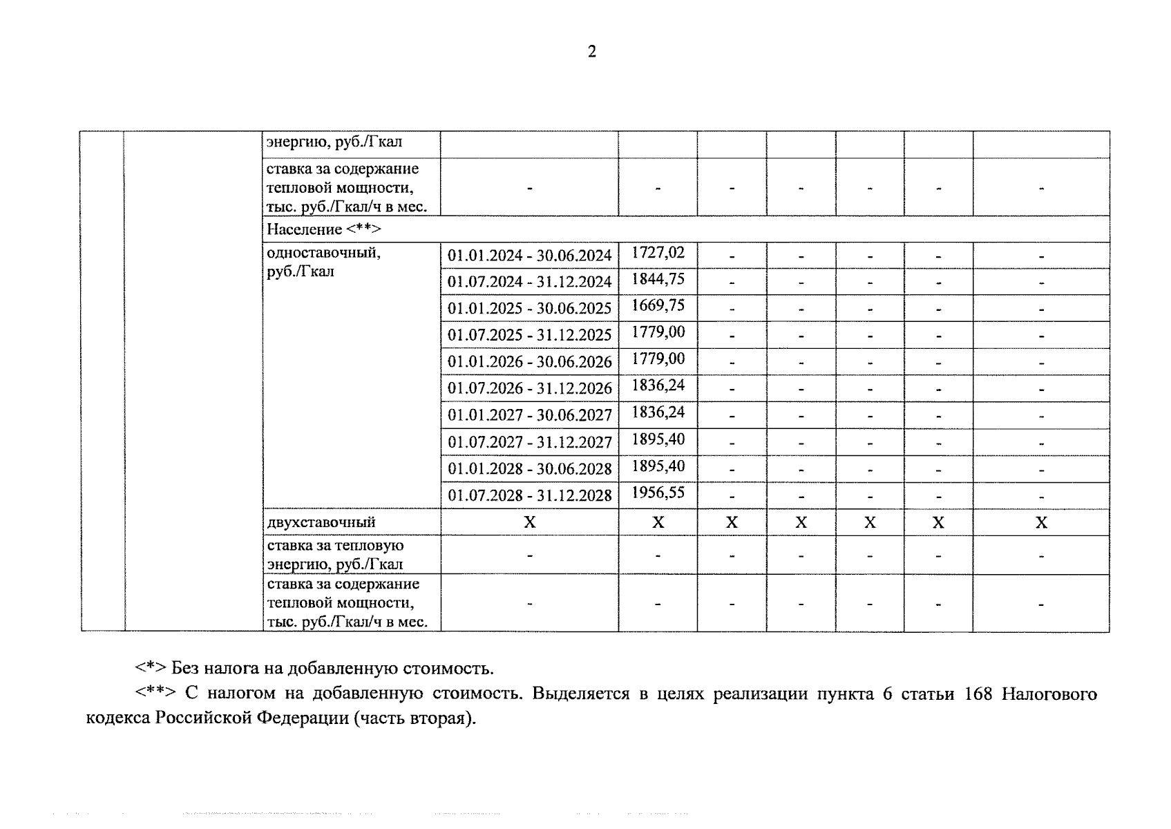
Постановление Комитета по тарифной политике Новгородской области от 12.10.2023 № 58/1
"О долгосрочных параметрах регулирования, тарифах на тепловую энергию (мощность) акционерного общества "Угловский известковый комбинат" на 2024-2028 годы"
(Зарегистрирован 16.10.2023 № 381)
Номер опубликования: 5301202310180007
Дата опубликования: 18.10.2023
Страница №6 из 7:
Увеличить