Официальное опубликование правовых актов
ОФИЦИАЛЬНОЕ ОПУБЛИКОВАНИЕ
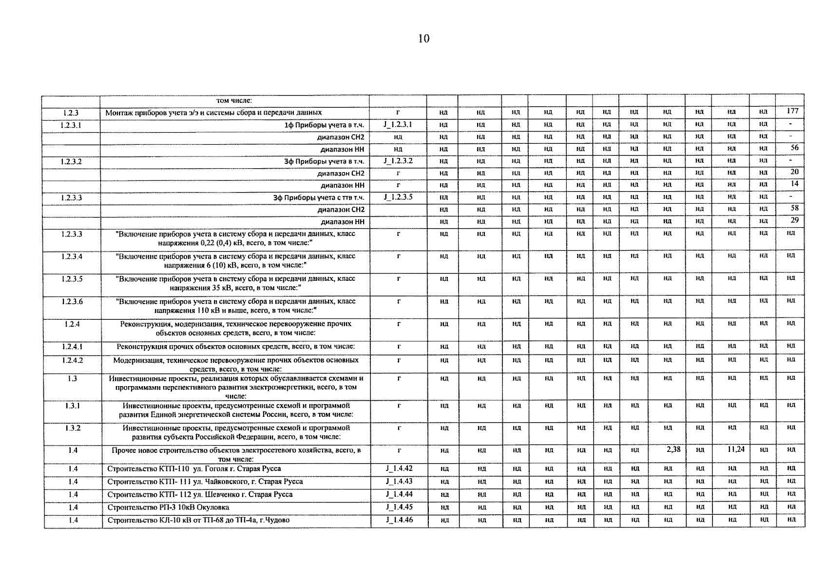
Постановление Комитета по тарифной политике Новгородской области от 03.10.2023 № 55/2
"Об утверждении изменений, вносимых в инвестиционную программу акционерного общества "Новгородоблэлектро" на 2020-2024 годы"
(Зарегистрирован 05.10.2023 № 356)
Номер опубликования: 5301202310090008
Дата опубликования: 09.10.2023
Страница №314 из 432:
Увеличить