Официальное опубликование правовых актов
ОФИЦИАЛЬНОЕ ОПУБЛИКОВАНИЕ
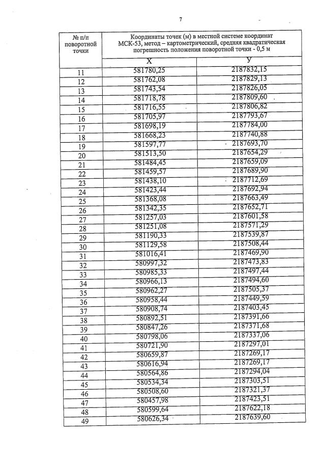
Постановление Инспекции государственной охраны культурного наследия Новгородской области от 04.05.2023 № 4
"Об утверждении границ зон охраны объекта культурного наследия регионального значения "Парк усадьбы Сперанского пейзажной планировки (мыза Сперанская), XVIII-XIX вв.", расположенного по адресу: Новгородская область, Новгородский район, д.Сперанская Мыза, режимов использования земель и требований к градостроительным регламентам в границах данных зон"
(Зарегистрирован 05.05.2023 № 162)
Номер опубликования: 5301202305110001
Дата опубликования: 11.05.2023
Страница №7 из 27:
Увеличить