Официальное опубликование правовых актов
ОФИЦИАЛЬНОЕ ОПУБЛИКОВАНИЕ
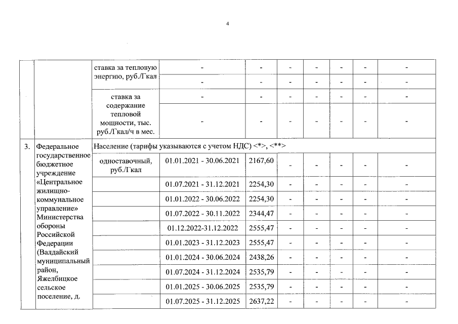
Постановление Комитета по тарифной политике Новгородской области от 16.11.2022 № 61/35
"О внесении изменений в постановление комитета по тарифной политике Новгородской области от 10.12.2020 № 72/5"
Номер опубликования: 5301202211180027
Дата опубликования: 18.11.2022
Страница №4 из 10:
Увеличить