Официальное опубликование правовых актов
ОФИЦИАЛЬНОЕ ОПУБЛИКОВАНИЕ
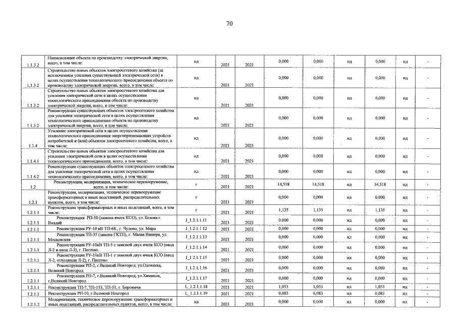
Постановление Комитета по тарифной политике Новгородской области от 29.09.2022 № 54
"Об утверждении изменений, вносимых в инвестиционную программу акционерного общества "Новгородоблэлектро" на 2020-2024 годы"
Номер опубликования: 5301202209300001
Дата опубликования: 30.09.2022
Страница №70 из 362:
Увеличить