Официальное опубликование правовых актов
ОФИЦИАЛЬНОЕ ОПУБЛИКОВАНИЕ
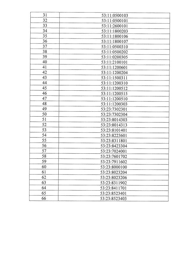
Постановление Министерства строительства, архитектуры и имущественных отношений Новгородской области от 17.05.2022 № 8
"Об утверждении Перечня кадастровых кварталов, в границах которых на территории Новгородской области предполагается проведение комплексных кадастровых работ"
Номер опубликования: 5301202205190001
Дата опубликования: 19.05.2022
Страница №3 из 3:
Увеличить