Официальное опубликование правовых актов
ОФИЦИАЛЬНОЕ ОПУБЛИКОВАНИЕ
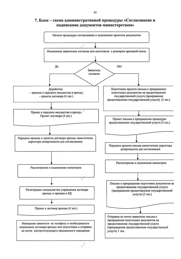
Постановление МИНИСТЕРСТВА СТРОИТЕЛЬСТВА, АРХИТЕКТУРЫ И ИМУЩЕСТВЕННЫХ ОТНОШЕНИЙ НОВГОРОДСКОЙ ОБЛАСТИ от 26.11.2021 № 19
"Об утверждении административного регламента предоставления государственной услуги по предоставлению зданий, строений, сооружений, помещений, находящихся в собственности Новгородской области, в аренду без проведения торгов"
Номер опубликования: 5301202111300016
Дата опубликования: 30.11.2021
Страница №44 из 46:
Увеличить