Официальное опубликование правовых актов
ОФИЦИАЛЬНОЕ ОПУБЛИКОВАНИЕ
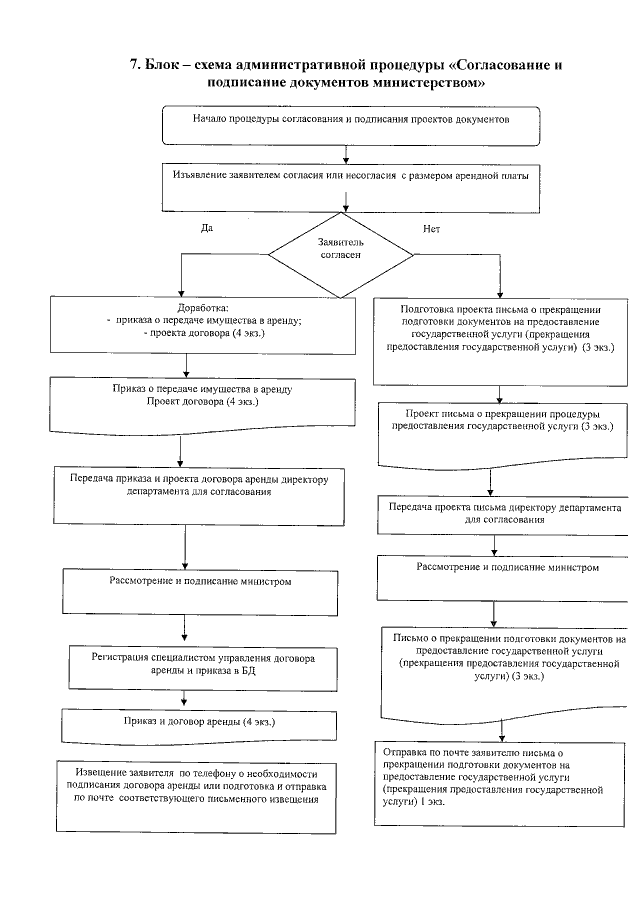
Постановление Министерства инвестиционной политики Новгородской области от 30.07.2019 № 12
"Об утверждении административного регламента предоставления министерством инвестиционной политики Новгородской области государственной услуги по предоставлению зданий, строений, сооружений, помещений, находящихся в собственности Новгородской области, в аренду без проведения торгов"
Номер опубликования: 5301201908020001
Дата опубликования: 02.08.2019
Страница №52 из 55:
Увеличить