Официальное опубликование правовых актов
ОФИЦИАЛЬНОЕ ОПУБЛИКОВАНИЕ
Постановление Министерства труда и социальной защиты населения Новгородской области от 05.03.2019 № 13
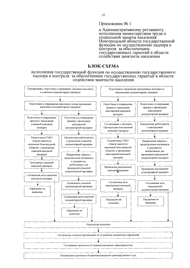
"Об утверждении административного регламента исполнения министерством труда и социальной защиты населения Новгородской области государственной функции по осуществлению надзора и контроля за обеспечением государственных гарантий в области содействия занятости населения"
Номер опубликования: 5301201903110001
Дата опубликования: 11.03.2019
Страница №35 из 50:
Увеличить