Официальное опубликование правовых актов
ОФИЦИАЛЬНОЕ ОПУБЛИКОВАНИЕ
Постановление Министерства строительства и жилищно-коммунального хозяйства Новгородской области
от 13.06.2018 № 2
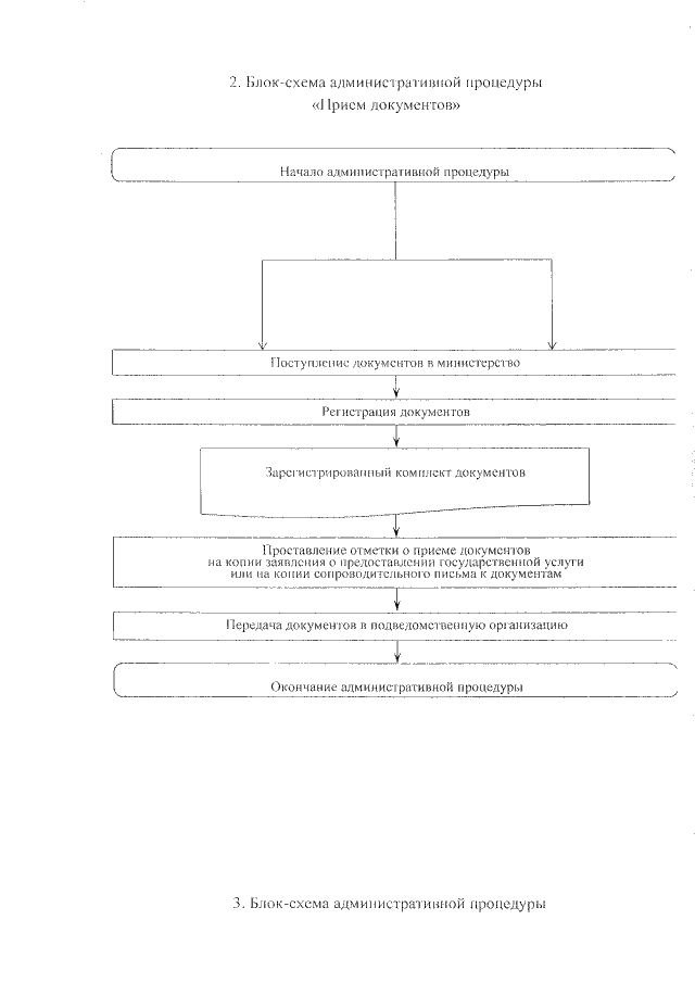
"Об утверждении административных регламентов предоставления государственных услуг по утверждению нормативов в сфере теплоснабжения"
Номер опубликования: 5301201806200001
Дата опубликования: 20.06.2018
Страница №35 из 119:
Увеличить