Официальное опубликование правовых актов
ОФИЦИАЛЬНОЕ ОПУБЛИКОВАНИЕ
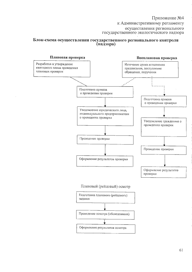
Постановление Министерства природных ресурсов, лесного хозяйства и экологии Новгородской области от 29.01.2018 № 2
"Об утверждении Административного регламента осуществления регионального государственного экологического надзора"
Номер опубликования: 5301201801300004
Дата опубликования: 30.01.2018
Страница №63 из 87:
Увеличить