Официальное опубликование правовых актов
ОФИЦИАЛЬНОЕ ОПУБЛИКОВАНИЕ
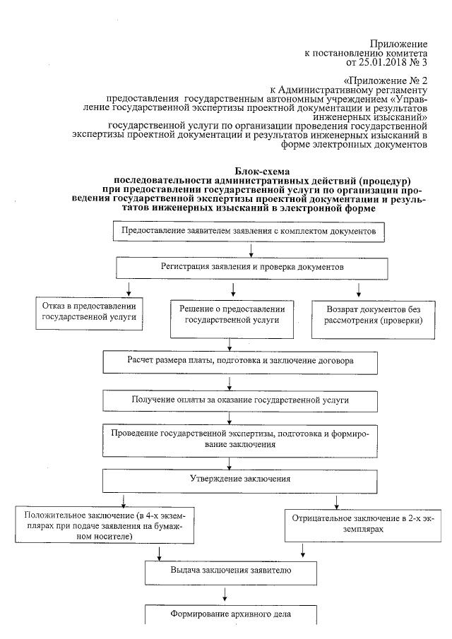
Постановление Комитета архитектуры и градостроительной политики Новгородской области от 25.01.2018 № 3
"О внесении изменений в постановление департамента архитектуры и градостроительной политики Новгородской области от 09.08.2017 № 3"
Номер опубликования: 5301201801300001
Дата опубликования: 30.01.2018
Страница №12 из 12:
Увеличить