Официальное опубликование правовых актов
ОФИЦИАЛЬНОЕ ОПУБЛИКОВАНИЕ
Постановление Комитета ветеринарии Новгородской области от 03.11.2017 № 4
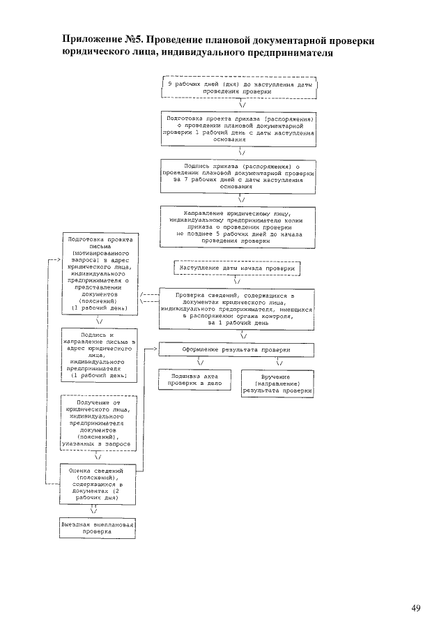
"Об утверждении Административного регламента исполнения государственной функции по осуществлению регионального государственного ветеринарного надзора на территории Новгородской области"
Номер опубликования: 5301201711080001
Дата опубликования: 08.11.2017
Страница №49 из 59:
Увеличить