Официальное опубликование правовых актов
ОФИЦИАЛЬНОЕ ОПУБЛИКОВАНИЕ
Постановление Департамента труда и социальной защиты населения Новгородской области от 17.10.2017 № 52
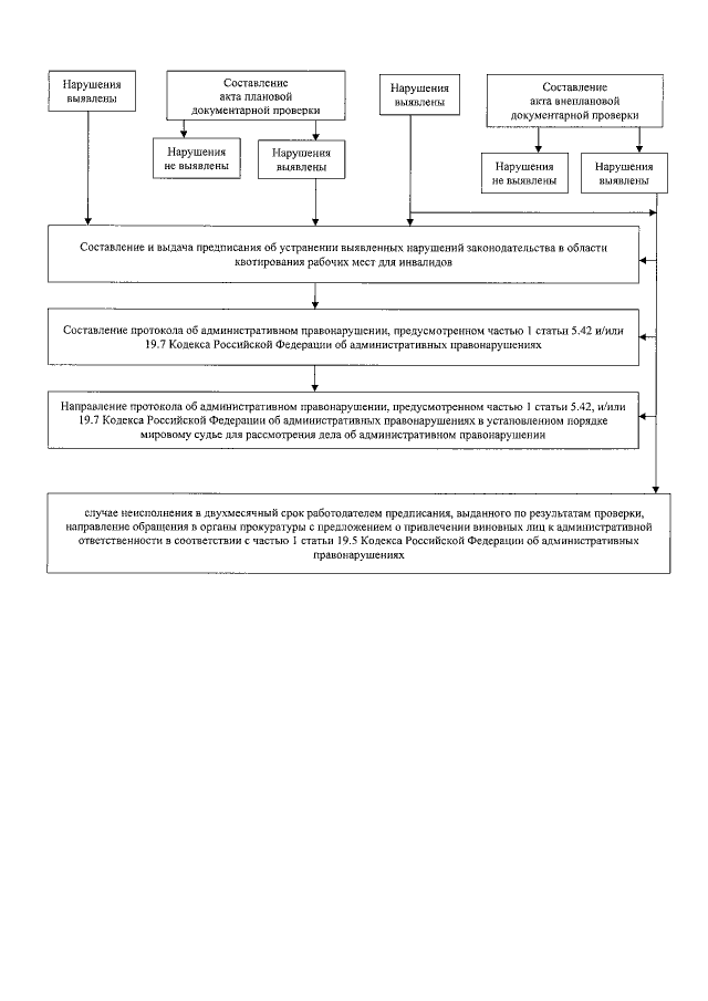
"Об утверждении Административного регламента исполнения государственной функции надзора и контроля за приемом на работу инвалидов в пределах установленной квоты с правом проведения проверок, выдачи обязательных для исполнения предписаний и составления протоколов"
Номер опубликования: 5301201710180002
Дата опубликования: 18.10.2017
Страница №37 из 44:
Увеличить