Официальное опубликование правовых актов
ОФИЦИАЛЬНОЕ ОПУБЛИКОВАНИЕ
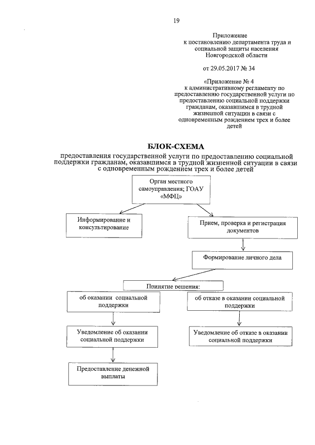
Постановление Департамента труда и социальной защиты населения Новгородской области от 29.05.2017 № 34
"О внесении изменений в административный регламент по предоставлению государственной услуги по предоставлению социальной поддержки гражданам, оказавшимся в трудной жизненной ситуации в связи с одновременным рождением трех и более детей"
Номер опубликования: 5301201705310001
Дата опубликования: 31.05.2017
Страница №19 из 19:
Увеличить