Официальное опубликование правовых актов
ОФИЦИАЛЬНОЕ ОПУБЛИКОВАНИЕ
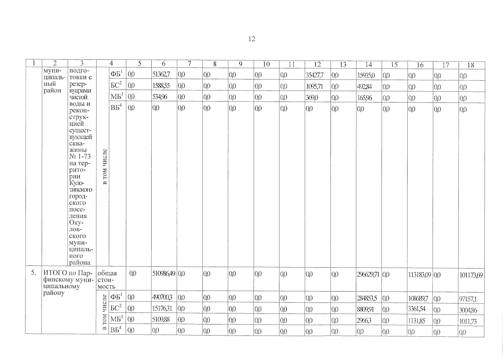
Постановление Правительства Новгородской области от 14.02.2025 № 54
"О внесении изменений в постановление Правительства Новгородской области от 17.11.2023 № 515"
Номер опубликования: 5300202502180001
Дата опубликования: 18.02.2025
Страница №20 из 34:
Увеличить