Официальное опубликование правовых актов
ОФИЦИАЛЬНОЕ ОПУБЛИКОВАНИЕ
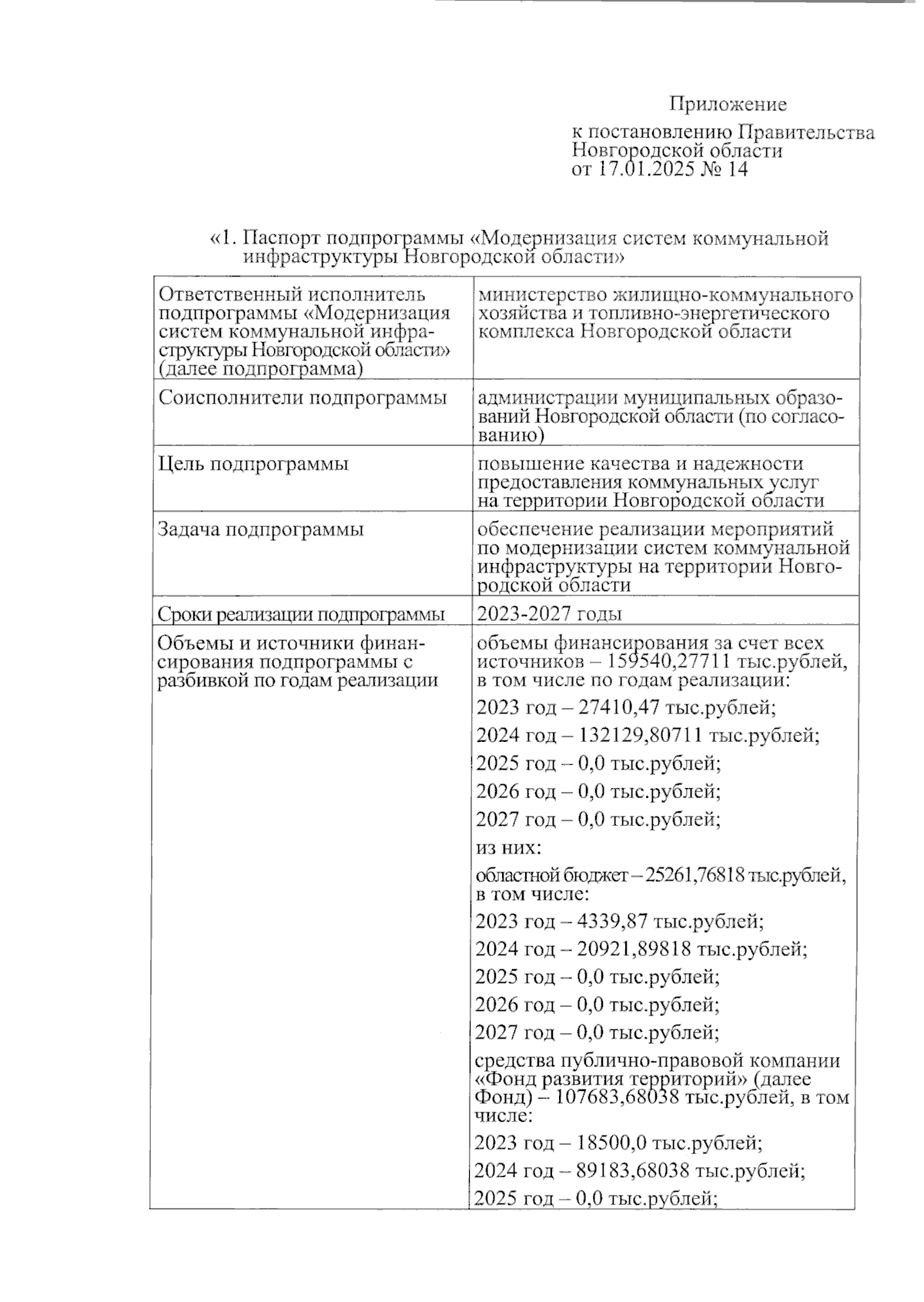
Постановление Правительства Новгородской области от 17.01.2025 № 14
"О внесении изменений в постановление Правительства Новгородской области от 17.11.2023 № 515"
Номер опубликования: 5300202501200001
Дата опубликования: 20.01.2025
Страница №3 из 14:
Увеличить