Официальное опубликование правовых актов
ОФИЦИАЛЬНОЕ ОПУБЛИКОВАНИЕ
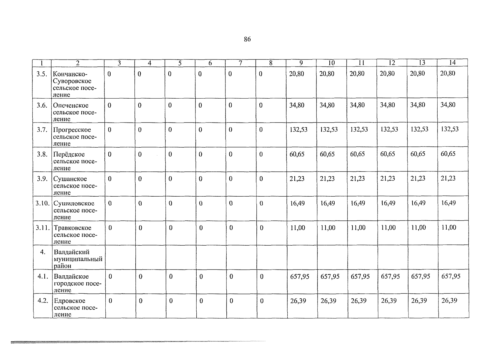
Указ Губернатора Новгородской области от 13.12.2024 № 703
"Об утверждении предельных (максимальных) индексов изменения размера вносимой гражданами платы за коммунальные услуги в муниципальных образованиях Новгородской области на 2025 год"
Номер опубликования: 5300202412130014
Дата опубликования: 13.12.2024
Страница №98 из 106:
Увеличить