Официальное опубликование правовых актов
ОФИЦИАЛЬНОЕ ОПУБЛИКОВАНИЕ
Распоряжение Правительства Новгородской области от 25.09.2024 № 645-рг
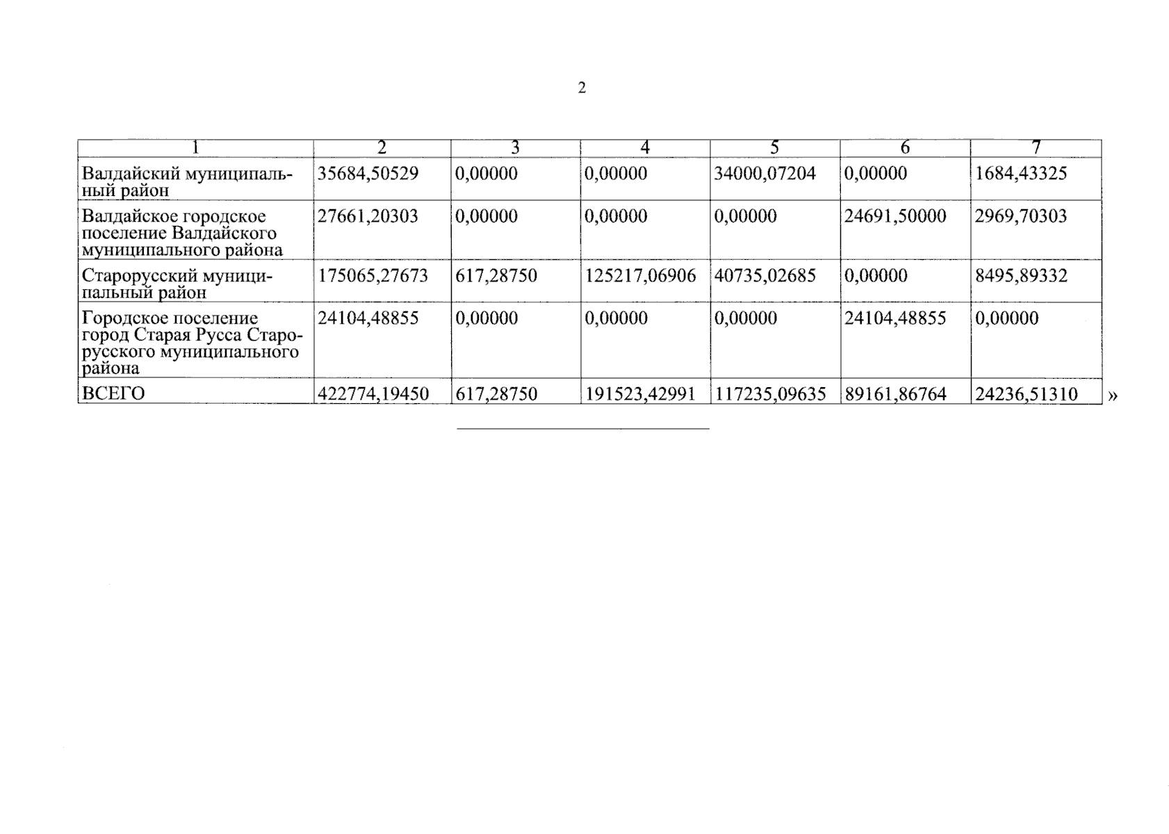
"О внесении изменения в распределение субсидий бюджетам Боровичского, Валдайского и Старорусского муниципальных районов Новгородской области, городских и сельских поселений Боровичского, Валдайского и Старорусского муниципальных районов Новгородской области в целях софинансирования расходных обязательств, возникающих при реализации мероприятий пилотного проекта, направленного на стимулирование рождаемости, на территории Новгородской области, на 2024 год"
Номер опубликования: 5300202409250002
Дата опубликования: 25.09.2024
Страница №3 из 3:
Увеличить