Официальное опубликование правовых актов
ОФИЦИАЛЬНОЕ ОПУБЛИКОВАНИЕ
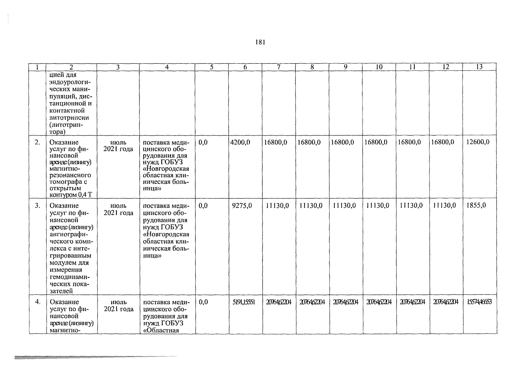
Постановление Правительства Новгородской области от 14.09.2024 № 435
"О внесении изменения в государственную программу Новгородской области "Развитие здравоохранения Новгородской области до 2029 года"
Номер опубликования: 5300202409160009
Дата опубликования: 16.09.2024
Страница №182 из 216:
Увеличить