Официальное опубликование правовых актов
ОФИЦИАЛЬНОЕ ОПУБЛИКОВАНИЕ
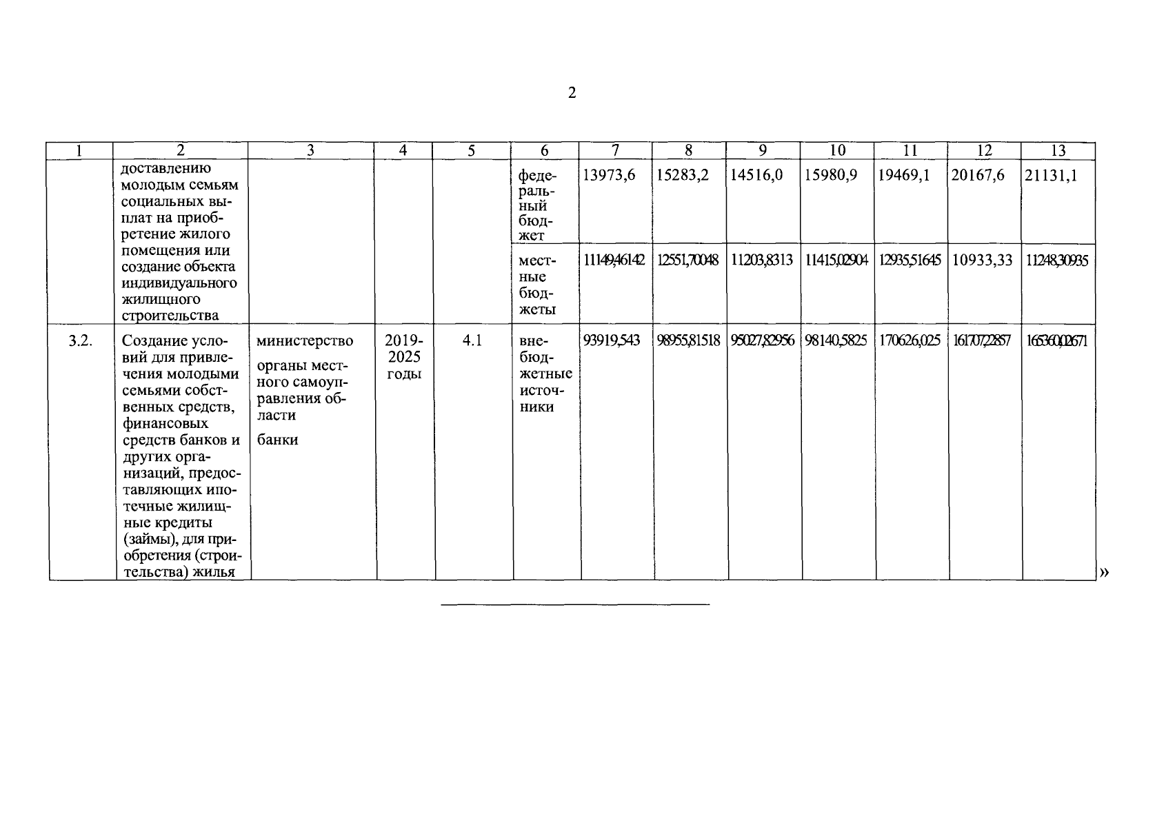
Постановление Правительства Новгородской области от 06.04.2024 № 165
"О внесении изменений в государственную программу Новгородской области "Развитие жилищного строительства на территории Новгородской области на 2019-2025 годы"
Номер опубликования: 5300202404100013
Дата опубликования: 10.04.2024
Страница №9 из 10:
Увеличить