Официальное опубликование правовых актов
ОФИЦИАЛЬНОЕ ОПУБЛИКОВАНИЕ
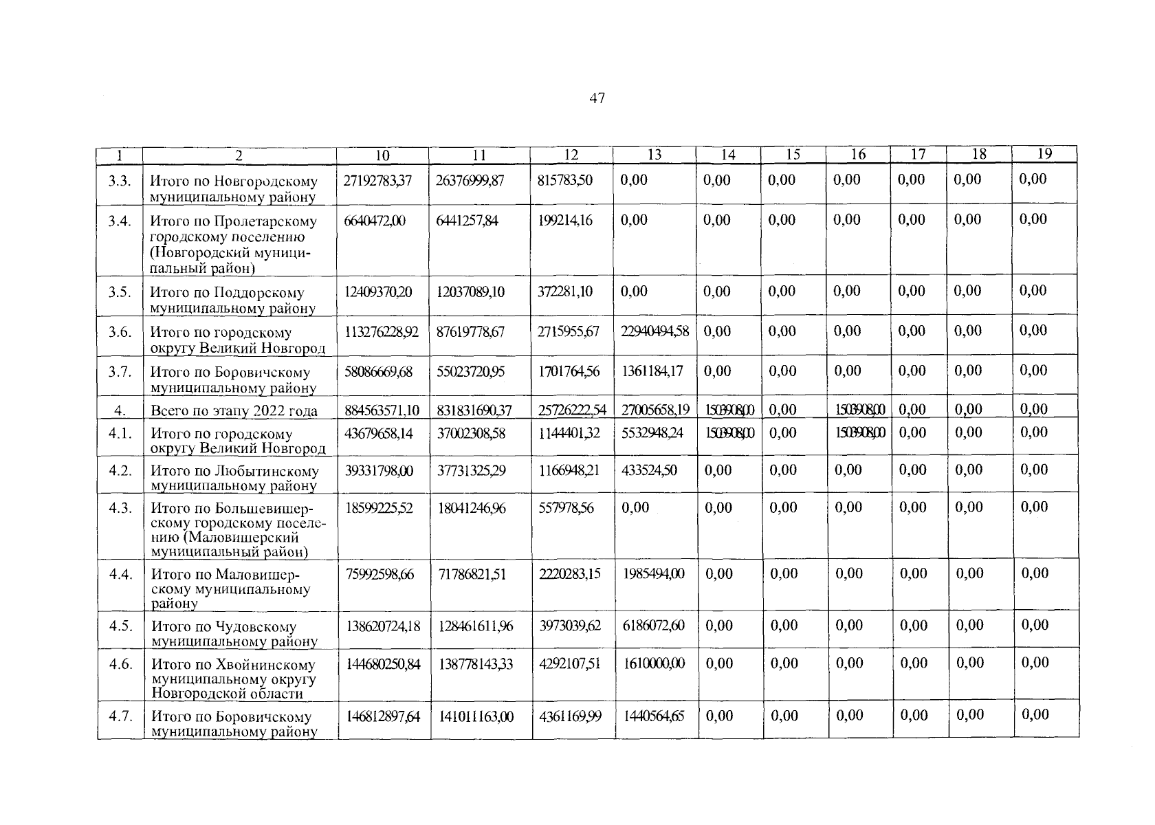
Постановление Правительства Новгородской области от 16.02.2024 № 70
"О внесении изменений в региональную адресную программу "Переселение граждан, проживающих на территории Новгородской области, из аварийного жилищного фонда в 2019-2025 годах"
Номер опубликования: 5300202402210002
Дата опубликования: 21.02.2024
Страница №51 из 52:
Увеличить