Официальное опубликование правовых актов
ОФИЦИАЛЬНОЕ ОПУБЛИКОВАНИЕ
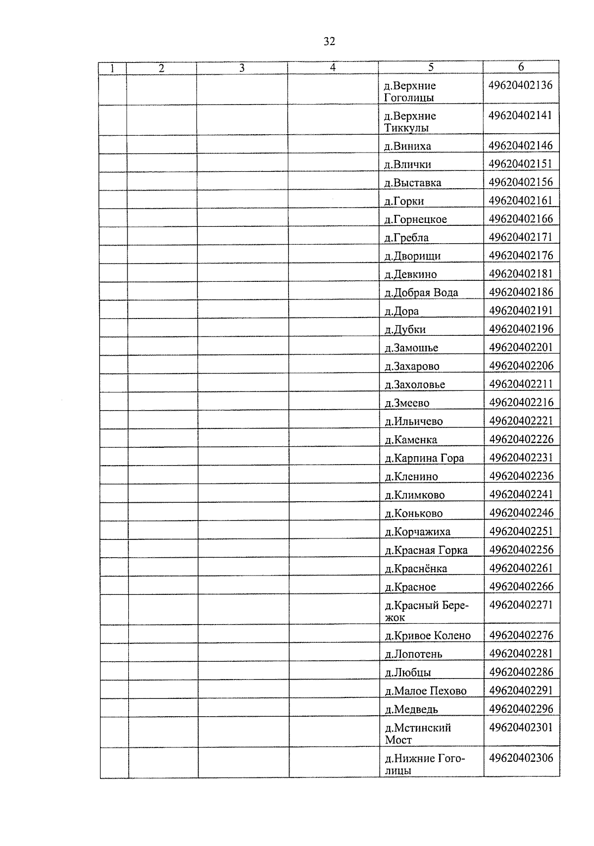
Постановление Правительства Новгородской области от 08.09.2023 № 401
"О внесении изменений в постановление Правительства Новгородской области от 02.03.2021 № 48"
Номер опубликования: 5300202309110005
Дата опубликования: 11.09.2023
Страница №32 из 89:
Увеличить