Официальное опубликование правовых актов
ОФИЦИАЛЬНОЕ ОПУБЛИКОВАНИЕ
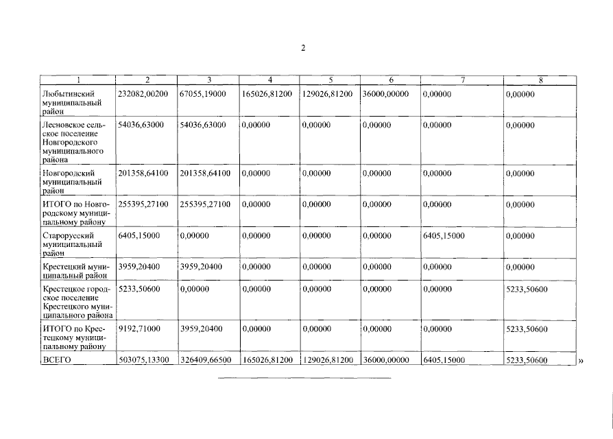
Распоряжение Правительства Новгородской области от 12.07.2023 № 369-рг
"Об утверждении изменений, которые вносятся в распределение субсидий бюджетам муниципальных районов, муниципальных округов, городских и сельских поселений Новгородской области в целях софинансирования расходных обязательств на реализацию проектов комплексного развития сельских территорий или сельских агломераций Новгородской области на 2023 год"
Номер опубликования: 5300202307140006
Дата опубликования: 14.07.2023
Страница №3 из 3:
Увеличить