Официальное опубликование правовых актов
ОФИЦИАЛЬНОЕ ОПУБЛИКОВАНИЕ
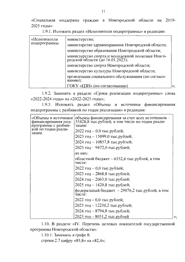
Постановление Правительства Новгородской области от 18.05.2023 № 201
"О внесении изменений в государственную программу Новгородской области "Социальная поддержка граждан в Новгородской области на 2019-2025 годы"
Номер опубликования: 5300202305190006
Дата опубликования: 19.05.2023
Страница №11 из 143:
Увеличить