Официальное опубликование правовых актов
ОФИЦИАЛЬНОЕ ОПУБЛИКОВАНИЕ
Постановление Правительства Новгородской области от 03.02.2023 № 55
"О внесении изменений в постановление Правительства Новгородской области от 18.06.2019 № 222"
Номер опубликования: 5300202302050001
Дата опубликования: 05.02.2023
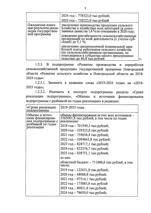
Страница №3 из 58:
Увеличить