Официальное опубликование правовых актов
ОФИЦИАЛЬНОЕ ОПУБЛИКОВАНИЕ
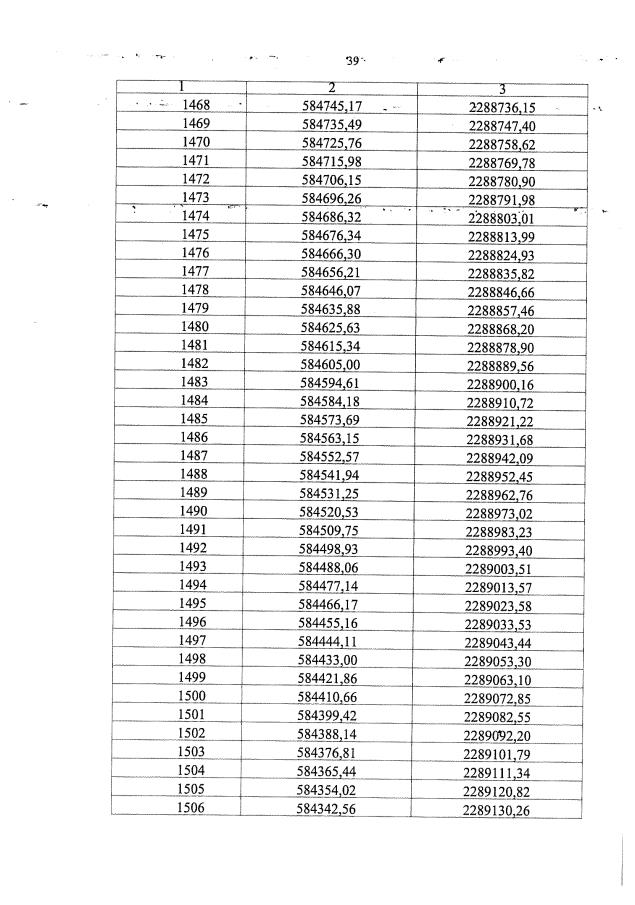
Постановление Правительства Новгородской области от 01.08.2022 № 429
"О памятнике природы регионального значения "Водно-ландшафтный памятник – "Озеро Льняное" с мызами "Устье" и "Утешение" (Пилкина мыза)"
Номер опубликования: 5300202208020001
Дата опубликования: 02.08.2022
Страница №47 из 55:
Увеличить