Официальное опубликование правовых актов
ОФИЦИАЛЬНОЕ ОПУБЛИКОВАНИЕ
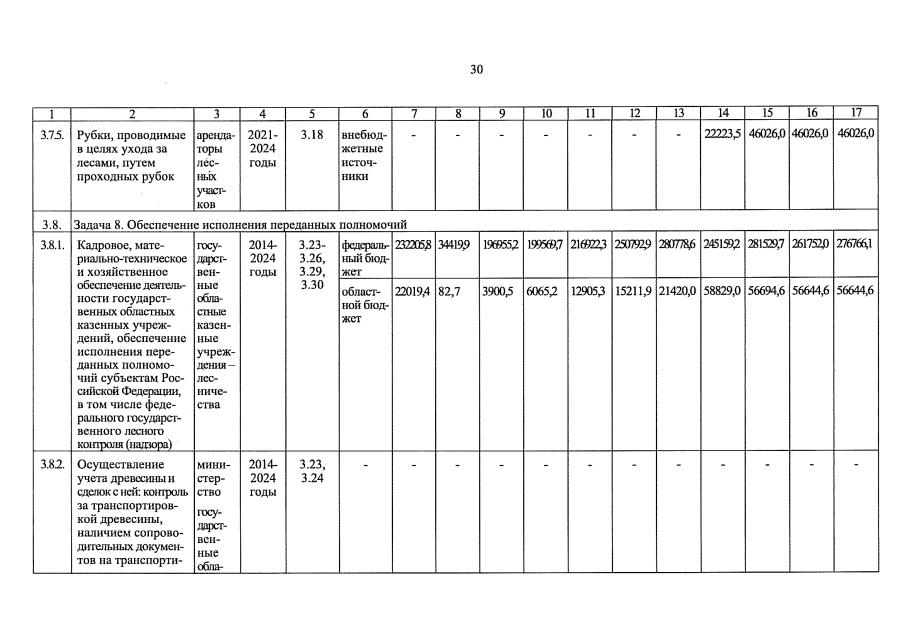
Постановление Правительства Новгородской области от 06.07.2022 № 370
"О внесении изменений в государственную программу Новгородской области "Развитие лесного хозяйства Новгородской области на 2014-2024 годы"
Номер опубликования: 5300202207070004
Дата опубликования: 07.07.2022
Страница №36 из 52:
Увеличить