Официальное опубликование правовых актов
ОФИЦИАЛЬНОЕ ОПУБЛИКОВАНИЕ
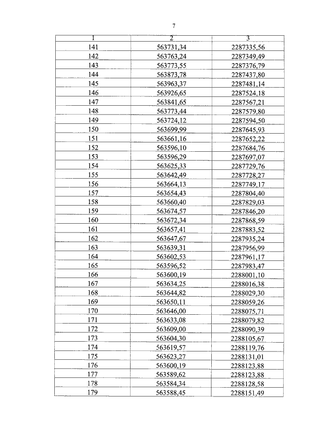
Постановление Правительства Новгородской области от 21.06.2022 № 326
"О внесении изменений в паспорт памятника природы регионального значения "Заозерская аккумулятивная водно-ледниковая гряда"
Номер опубликования: 5300202206240004
Дата опубликования: 24.06.2022
Страница №7 из 14:
Увеличить