Официальное опубликование правовых актов
ОФИЦИАЛЬНОЕ ОПУБЛИКОВАНИЕ
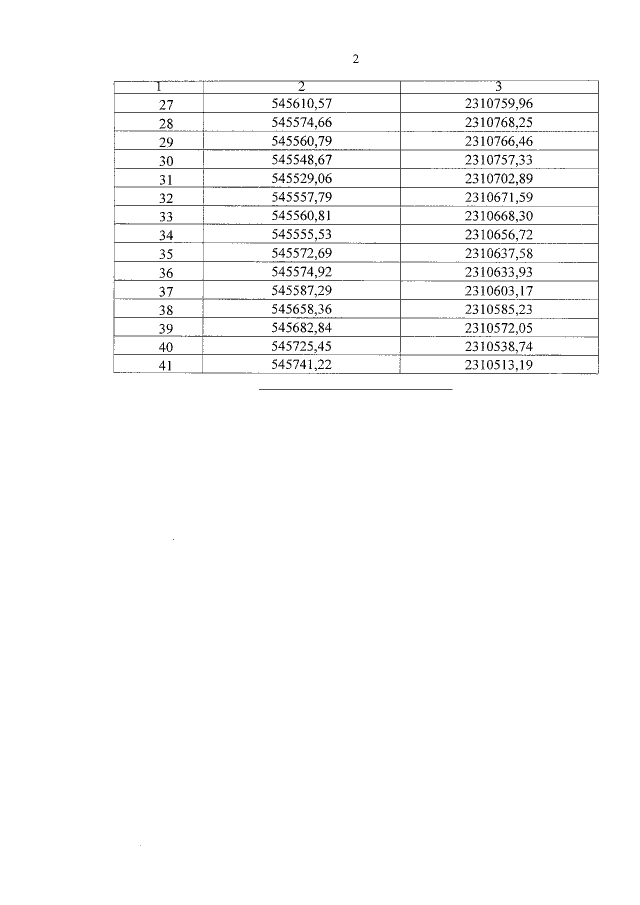
Постановление Правительства Новгородской области от 26.05.2022 № 284
"О памятнике природы регионального значения "Озеро Ближнее"
Номер опубликования: 5300202205280004
Дата опубликования: 28.05.2022
Страница №9 из 9:
Увеличить