Официальное опубликование правовых актов
ОФИЦИАЛЬНОЕ ОПУБЛИКОВАНИЕ
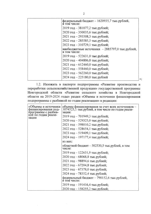
Постановление Правительства Новгородской области от 21.12.2021 № 460
"О внесении изменений в государственную программу Новгородской области "Развитие сельского хозяйства в Новгородской области на 2019-2024 годы"
Номер опубликования: 5300202112220001
Дата опубликования: 22.12.2021
Страница №2 из 8:
Увеличить