Официальное опубликование правовых актов
ОФИЦИАЛЬНОЕ ОПУБЛИКОВАНИЕ
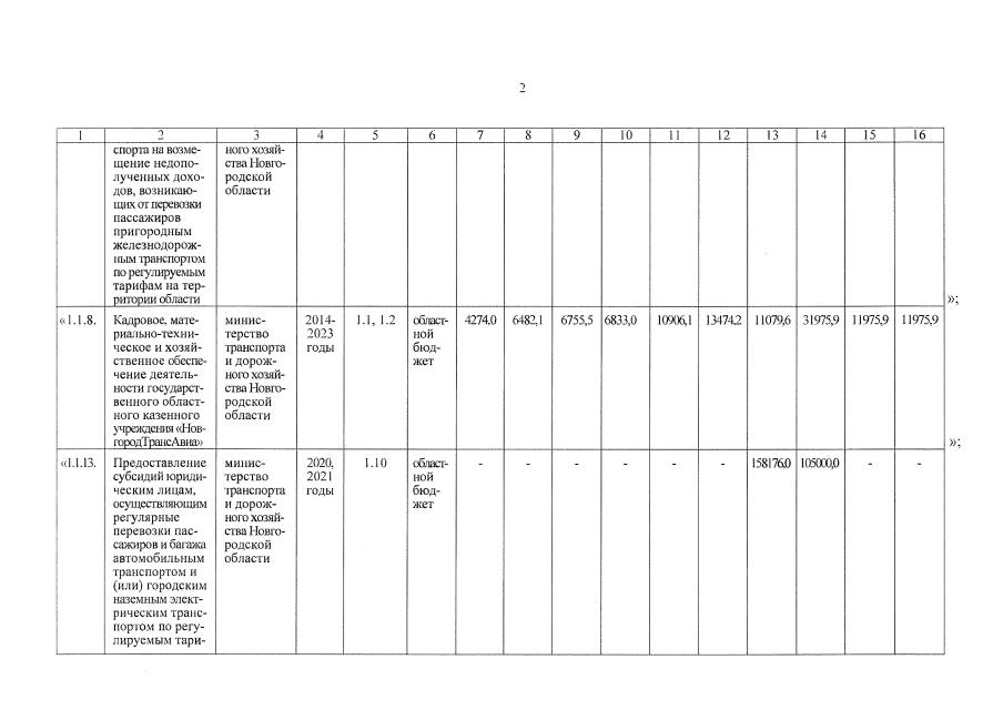
Постановление Правительства Новгородской области от 20.12.2021 № 455
"О внесении изменений в государственную программу Новгородской области "Развитие транспортной системы, связи и навигационной деятельности Новгородской области на 2014-2023 годы"
Номер опубликования: 5300202112210004
Дата опубликования: 21.12.2021
Страница №7 из 8:
Увеличить