Официальное опубликование правовых актов
ОФИЦИАЛЬНОЕ ОПУБЛИКОВАНИЕ
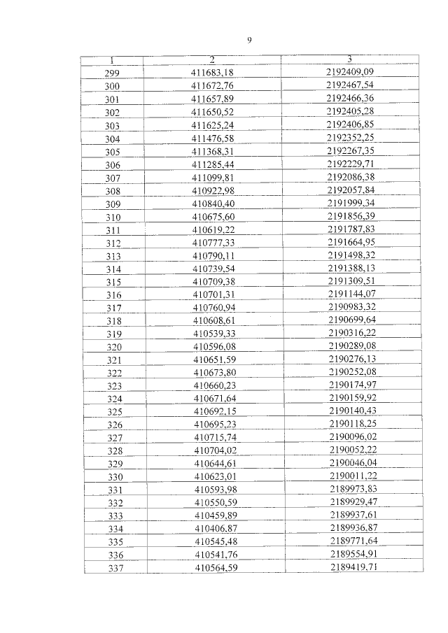
Постановление Правительства Новгородской области от 23.09.2021 № 312
"Об охраняемом природном комплексе регионального значения "Долина реки Крутовки и местечко Боброво"
Номер опубликования: 5300202109240007
Дата опубликования: 24.09.2021
Страница №18 из 28:
Увеличить