Официальное опубликование правовых актов
ОФИЦИАЛЬНОЕ ОПУБЛИКОВАНИЕ
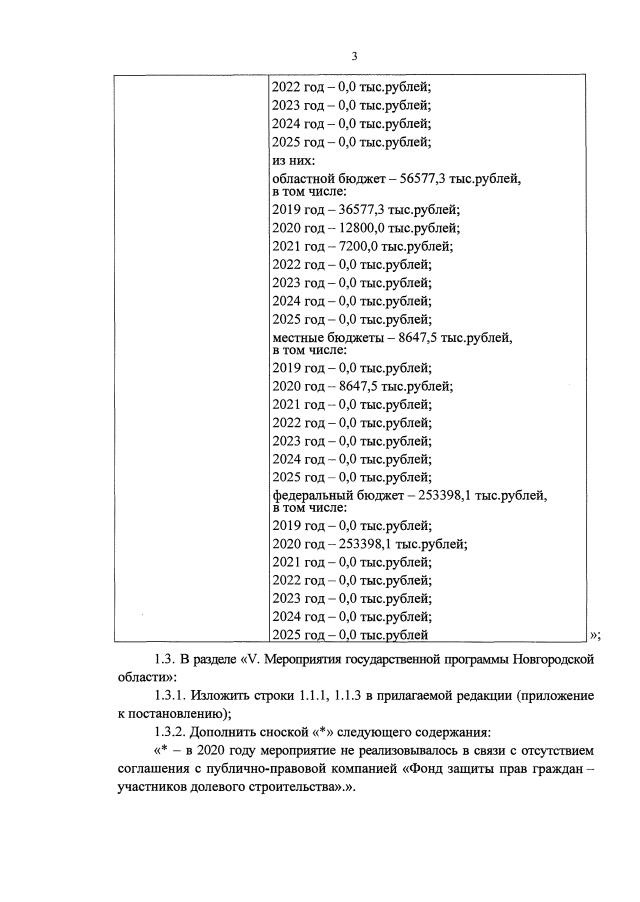
Постановление Правительства Новгородской области от 13.09.2021 № 285
"О внесении изменений в государственную программу Новгородской области "Развитие жилищного строительства на территории Новгородской области на 2019-2025 годы"
Номер опубликования: 5300202109140003
Дата опубликования: 14.09.2021
Страница №3 из 6:
Увеличить