Официальное опубликование правовых актов
ОФИЦИАЛЬНОЕ ОПУБЛИКОВАНИЕ
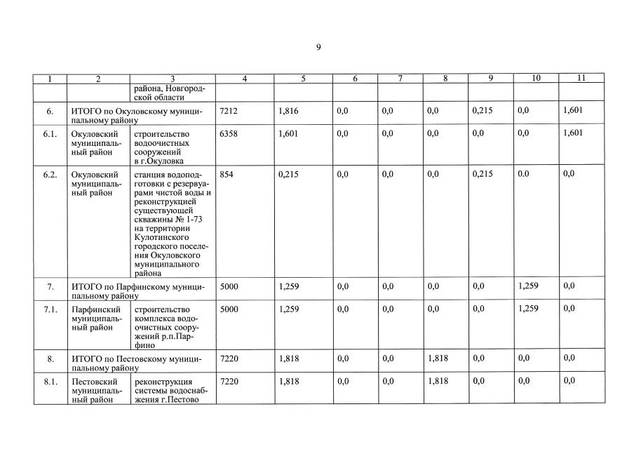
Постановление Правительства Новгородской области от 02.08.2021 № 217
"О внесении изменений в государственную программу Новгородской области "Чистая вода в Новгородской области на 2019-2024 годы"
Номер опубликования: 5300202108040007
Дата опубликования: 04.08.2021
Страница №65 из 76:
Увеличить