Официальное опубликование правовых актов
ОФИЦИАЛЬНОЕ ОПУБЛИКОВАНИЕ
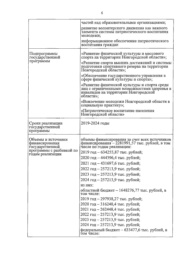
Постановление Правительства Новгородской области от 27.06.2019 № 241
"О внесении изменения в государственную программу Новгородской области "Развитие физической культуры, спорта и молодежной политики на территории Новгородской области на 2019-2024 годы"
Номер опубликования: 5300201906280001
Дата опубликования: 28.06.2019
Страница №7 из 191:
Увеличить