Официальное опубликование правовых актов
ОФИЦИАЛЬНОЕ ОПУБЛИКОВАНИЕ
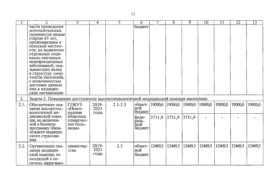
Постановление Правительства Новгородской области от 11.02.2019 № 60
"Об утверждении государственной программы Новгородской области "Развитие здравоохранения Новгородской области до 2025 года"
Номер опубликования: 5300201902130011
Дата опубликования: 13.02.2019
Страница №56 из 122:
Увеличить