Официальное опубликование правовых актов
ОФИЦИАЛЬНОЕ ОПУБЛИКОВАНИЕ
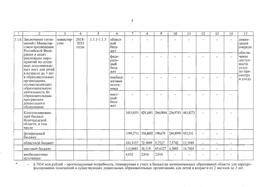
Постановление Правительства Новгородской области от 08.02.2019 № 59
"О внесении изменений в постановление Правительства Новгородской области от 24.07.2018 № 375"
Номер опубликования: 5300201902120001
Дата опубликования: 12.02.2019
Страница №13 из 14:
Увеличить