Официальное опубликование правовых актов
ОФИЦИАЛЬНОЕ ОПУБЛИКОВАНИЕ
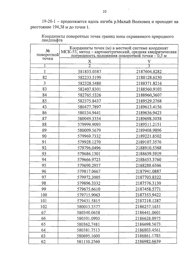
Постановление Правительства Новгородской области от 29.06.2018 № 323
"Об утверждении границ зон охраны объекта культурного наследия регионального значения "Парк усадьбы Сперанского пейзажной планировки (мыза Сперанская), XVIII-XIX вв.", расположенного по адресу: Новгородская область, Новгородский район, д.Сперанская Мыза, режимов использования земель и требований к градостроительным регламентам в границах данных зон"
Номер опубликования: 5300201807030005
Дата опубликования: 03.07.2018
Страница №12 из 22:
Увеличить